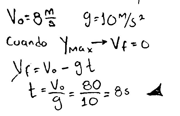
Se Lanza Verticalmente Hacia Arriba Una Pelota Con Una Velocidad De 20 M S

Info, fresh and Media.

Se Lanza Verticalmente Hacia Arriba Una Pelota Con Una Velocidad De 20 M S.

Física
Física (Elsie Silva)

Sapiencia: Ejercicios caída libre

ENERGÍA TEORIA Y PROBLEMAS CON RESPUESTAS ~ FISICA ...

Problemas Resueltos de Caída Libre | CLASES DE FISICA

Se lanza verticalmente hacia arriba una pelota con una ...

LANZAMIENTO VERTICAL: LANZAMIENTO VERTICAL

lanzamos verticalmente hacia arriba una pelota con una ...

Cinematica Nivel Cero Problemas Resueltos Y Propuestos

Sapiencia: Ejercicios caída libre

Física